Impatto dei cambiamenti climatici sugli eventi franosi superficiali

Le frane superficiali sono uno dei fenomeni gravitativi più pericolosi. Sono infatti responsabili di oltre il 50% delle vittime dovute a frane in Piemonte nell’ultimo secolo. 

Per capire se e in che modo il cambiamento climatico abbia influenzato il comportamento delle frane superficiali nell’ultimo secolo, è fondamentale ricostruire la loro evoluzione nel tempo e le cause che le hanno innescate, riducendo al minimo l’incertezza nelle correlazioni statistiche tra cause ed effetti.

Sono state analizzate le frane superficiali che si sono verificate in Piemonte dal 1960 al 2023, causate principalmente da eventi di pioggia, con un ruolo trascurabile attribuibile alle precipitazioni precedenti l’evento. 

In uno studio del 2023 è stata analizzata l’efficacia delle soglie di innesco utilizzate nel sistema di allerta precoce per le frane superficiali a scala regionale in Piemonte, considerando diversi contesti geologici e morfologici: le Alpi, gli Appennini, la collina torinese e il Bacino Terziario Piemontese (BTP). Lo studio ha preso in esame le soglie medie di innesco delle frane relative a durate di 24 e 48 ore, con valori di riferimento pari a 120 mm e 170 mm per le Alpi, e 70 mm e 80 mm per le aree collinari (Collina di Torino, BTP e fascia pedemontana appenninica). Questi valori sono attualmente impiegati nel sistema operativo di allerta precoce SLOPS ("Shallow Landslide Occurrence Prediction System"), attivo in Piemonte dal 2018 (Tiranti et al., 2019).
L’analisi dello studio si è basata su 120 eventi di frana superficiale avvenuti tra il 1960 e il 2019, confrontati con dati di precipitazione giornaliera nello stesso arco temporale, ottenuti mediante il metodo di interpolazione spaziale Optimal Interpolation (OI). I risultati hanno mostrato un tasso di successo del 68%, suggerendo che le soglie adottate dal sistema R-SLEWS sono generalmente affidabili sia per le aree montane sia per quelle collinari nell’arco temporale considerato.
Tuttavia, una delle principali limitazioni dello studio riguarda la bassa risoluzione temporale dei dati di pioggia, disponibili solo su base giornaliera (dalle 00:00 alle 23:59). Questo approccio non consente di valutare in modo adeguato l’efficacia delle soglie di innesco su intervalli di tempo più brevi (ad esempio 6 o 12 ore), né di analizzare correttamente gli episodi di pioggia che si estendono su due giorni consecutivi.

Utilizzo dei dati pluviometrici satellitari ERA5-Land per la valutazione dell’efficacia del sistema di allerta regionale SLOPS  per frane superficiali

In un aggiornamento dello studio sono stati impiegati i dati orari delle precipitazioni del dataset ERA5-Land, resi disponibili dal Copernicus Climate Data Store. Per correggere eventuali distorsioni nei dati, è stata applicata una mappatura dei quantili su base giornaliera, mentre l’adozione di finestre mobili di 24 e 48 ore ha permesso di aumentare la risoluzione temporale dell’analisi. La ricerca si è posta due obiettivi principali: da un lato, valutare l’efficacia delle soglie di attivazione del sistema di allerta SLOPS, con particolare attenzione agli eventi di pioggia che superano le soglie di 24 e 48 ore ma si estendono su più giorni consecutivi; dall’altro, esplorare la possibilità di utilizzare dati satellitari su larga scala per prevedere le frane sia a livello regionale sia locale.
L’analisi, ampliata e aggiornata, ha preso in considerazione 123 eventi franosi diffusi verificatisi tra il 1960 e il 2023. Gli eventi sono stati classificati in sette categorie di severità, in base al numero di frane associate a ciascun episodio di pioggia, come riportato nella tabella seguente:

Classe di severitàNumero di frane
1 – Estremamente bassa1–50
2 – Molto bassa>50–100
3 - Bassa>100–200
4 - Moderata>200–500
5 - Alta>500–2000
6 – Molto alta>2000–5000
7 – Eccezionalmente alta>5000–10000 e oltre

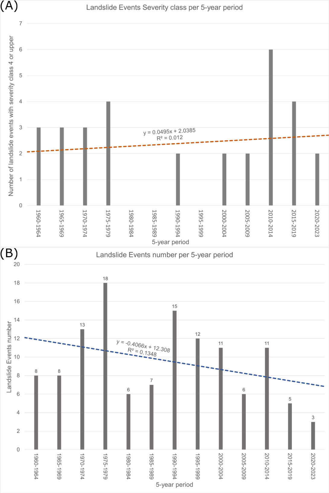
Dall’analisi emerge una lieve tendenza all’aumento, tra il 1960 e il 2023, dell’intensità degli eventi di frana superficiale - intesa come numero di frane che si verificano durante un singolo episodio di pioggia, in particolare per eventi classificati con una gravità pari o superiore al livello 4 (moderata o più severa), come mostrato nell'immagine designata con la lettera A. Al contrario, il numero complessivo di eventi franosi superficiali - analizzato per intervalli di cinque anni, mostra un andamento decrescente nello stesso periodo, (immagine designata con la lettera B).
Per quanto riguarda il contesto climatico, In Piemonte le precipitazioni cumulate annuali e stagionali sono rimaste sostanzialmente stabili nel corso degli ultimi decenni. Tuttavia, si è registrata una lieve riduzione del numero di giorni di pioggia, indicando che le piogge tendono a concentrarsi in episodi meno frequenti ma più intensi. Questa tendenza climatica rispecchia quanto osservato per le frane superficiali: negli ultimi sessant’anni, pur diminuendo in frequenza, esse sono diventate mediamente più gravi.

(A) Distribuzione temporale degli eventi di frana superficiale (dal 1960 al 2023) con una classe di severità ≥ 4, raggruppati in quinquenni, mostrano una debole tendenza crescente. (B) Numero di eventi di frana superficiale che si sono verificati dal 1960 al 2023, raggruppati per periodi di 5 anni, mostrano invece una tendenza decrescente.
(A) Distribuzione temporale degli eventi di frana superficiale (dal 1960 al 2023) con una classe di severità ≥ 4, raggruppati in quinquenni, mostrano una debole tendenza crescente. (B) Numero di eventi di frana superficiale che si sono verificati dal 1960 al 2023, raggruppati per periodi di 5 anni, mostrano invece una tendenza decrescente.

I dati di precipitazione oraria ERA5-Land del programma Copernicus utilizzati coprono il periodo 1° gennaio 1960 – 31 dicembre 2023 e si riferiscono al Piemonte e alle aree limitrofe. Tutti i dettagli relativi all’interpolazione spaziale, alla validazione dei dati, alla verifica delle soglie di attivazione del sistema di allerta e all’approccio a finestra mobile per l’analisi temporale sono riportati nell’articolo completo.

Nell’identificare le piogge che hanno innescato frane superficiali in Piemonte dal 1960 i dati ERA5-Land si sono rivelati meno affidabili dei dati interpolati provenienti dai pluviometri, nonostante la maggiore risoluzione temporale e strumentale. Tuttavia, la correzione delle precipitazioni orarie tramite mappatura dei quantili rende prezioso l'utilizzo dei dati ERA5-Land specialmente in aree con copertura strumentale ridotta.

(A) Confronto delle precipitazioni mensili medie per il periodo 1960-2023 per il set di dati OI derivati dalle precipitazioni osservate (linea continua), il set di dati ERA5-Land (linea tratteggiata) e lo stesso set di dati corretto (linea tratteggiata). (B) Diagramma delle prestazioni che confronta la capacità di rilevare giorni umidi e asciutti tra diversi set di dati (cerchio nero: dati OI rispetto ai dati ERA5-Land; quadrato nero: dati OI rispetto a dati ERA5-Land corretti).
(A) Confronto delle precipitazioni mensili medie per il periodo 1960-2023 per il set di dati OI derivati dalle precipitazioni osservate (linea continua), il set di dati ERA5-Land (linea tratteggiata) e lo stesso set di dati corretto (linea tratteggiata). (B) Diagramma delle prestazioni che confronta la capacità di rilevare giorni umidi e asciutti tra diversi set di dati (cerchio nero: dati OI rispetto ai dati ERA5-Land; quadrato nero: dati OI rispetto a dati ERA5-Land corretti).

Riferimenti bibliografici

Botto Valentina , Tiranti Davide , Barbarino Simona , Ronchi Christian (2025) Using ERA-5 LAND reanalysis rainfall data to better evaluate the performance of the regional shallow landslide early warning system of Piemonte (north-western Italy) in the context of climate change. Frontiers in Earth Science, 12, 2025, 2296-6463

Tiranti D. and Ronchi C. (2023) Climate Change Impacts on Shallow Landslide Events and on the Performance of the Regional Shallow Landslide Early Warning System of Piemonte (Northwestern Italy). GeoHazards, 4(4), 475–496. 

Tiranti D., Cremonini R. (2019) Editorial: Landslide Hazard in a Changing Environment. Front. Earth Sci. 7:3. 

Stoffel M., Tiranti D., Huggel C. (2014) Climate change impacts on mass movements – case studies from the European Alps. Science of the Total Environment 493: 1255-1266.

Note

    Tag

    Ultima modifica 21 Agosto 2025